
표준 진료 지침에 따르면 국소 전립선암은 재발 위험을 기준으로 저위험군, 중간위험군, 고위험군 등으로 분류되며 각 위험군에 따라 치료법의 선택이 권고된다. 2010년대에 들어 전립선암 치료에 세기조절방사선치료, 양성자치료, 소분할·극소분할치료법 등 최신의 기법들이 활발히 도입돼 고선량을 안전하게 조사함으로써 치료 효과는 높이고 부작용은 줄어든 것으로 추정됐다.
그러나, 위험도 분류법과 방사선치료 기법들에 대한 대규모 데이터 기반 연구가 부족해 객관적인 검증은 미흡한 상황이었다.
이에 최서희, 조재호 교수팀은 2001년부터 2015년까지 대한방사선종양학회 비뇨기암 연구분과에 참여하고 있는 17개 기관과 함께 국소 전립선암에 대한 근치적 방사선치료를 받은 3년 이상 추적 관찰된 1573명의 환자를 대상으로 연구를 진행했다.
연구를 통해 위험도 분류법 중 예후 예측력이 가장 좋은 분류법을 탐색했으며 이를 기반으로 방사선치료에 따른 무재발 생존율, 전체 생존율, 생화학적 재발률 등을 분석했다.
연구 결과 전립선암 환자군에 대한 총 4가지의 위험도 분류법 중 NCCN(National Comprehensive Cancer Network, 미국종합암네트워크) 분류법이 가장 우수한 예후 예측력을 보이는 것으로 나타났다.
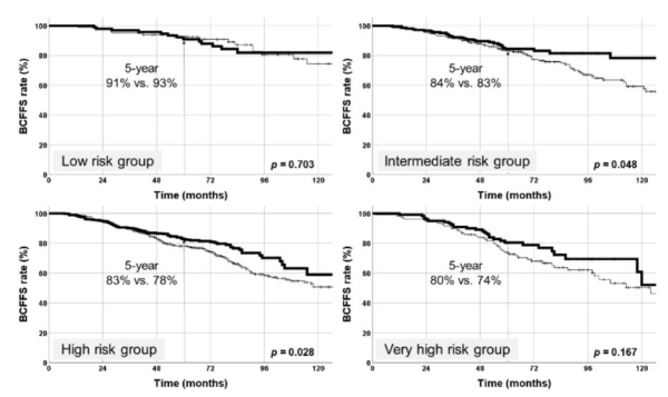
NCCN 분류법은 진단 시 ▲T 병기(암의 크기와 특성) ▲PSA 수치(전립선특이항원) ▲글리슨 점수(전립선암의 악성도) 등을 종합적으로 고려해 전립선암 환자를 초저위험군, 저위험군, 중간위험군, 고위험군, 초고위험군으로 나누는 분류법으로 임상에서 많이 활용되고 있다.
근치적 방사선치료 후 생화학적 재발률은 19%, 10년 생존율은 83%인 것으로 나타났고 세기조절방사선치료의 시행 여부와 높은 방사선량 등은 무재발 생존율과 유의미한 양의 상관성을 보였다. 특히, 고위험군에서 방사선량 증량의 효과가 더욱 컸다.
이와 더불어, 세기조절방사선치료를 통해 고선량을 소분할 방식으로 조사한 경우 모든 위험군의 5년 무재발 생존율은 부작용의 증가 없이 80~90%를 형성했으며 고위험군에서 치료 효과와 전체 생존율 항상 정도 모두 더욱 큰 것으로 확인됐다.
연구에 대해 최서희 교수는 “국소 전립선암에 세기조절방사선치료를 실시할 경우 생화학적 재발률을 감소시키고 궁극적으로 생존 기간의 연장까지 기대할 수 있는 등 최신 방사선 치료법이 지난 우수성을 객관적으로 확인할 수 있었다”고 설명했다.
이어 “이번 분석 결과는 실제 임상 진료에서 치료 효과와 삶의 질을 모두 고려한 환자 맞춤형 방사선치료 전략을 세우는데 큰 도움이 될 것으로 기대된다”고 전했다.
용인세브란스병원 방사선종양학과는 세기조절방사선치료, 소분할 치료법 등 선진적인 치료법을 활용해 전립선암 환자를 포함한 다양한 암종을 치료하고 있으며, Versa HD 등 최신의 방사선치료 장비를 갖춰 치료 효과는 높이고 부작용은 최소화하는 우수한 의료 서비스를 제공하고 있다.
김봉수 기자 news@seconomy.kr
<저작권자 © 공유경제신문, 무단 전재 및 재배포 금지>

















